Beaches and Marine Vegetation
Short and long-term change at eelgrass sites

This indicator measures the number of eelgrass sites that are increasing, decreasing, stable, or absent. We calculate the change in eelgrass area at a site over two time periods: short-term (6 years), and long-term (all years monitored). This indicator complements soundwide area reporting by identifying change on smaller scales.

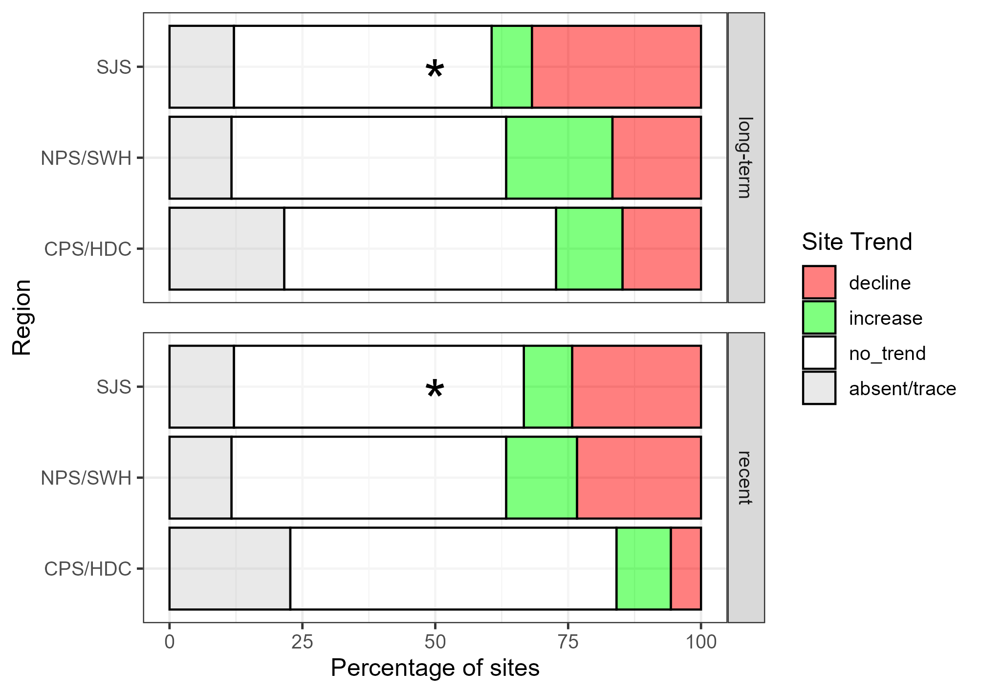
Trends in eelgrass area at 214 randomly selected sites in greater Puget Sound. Horizontal bars show the percentage of all sites with eelgrass declines (red), increases (green), no trend (white), trace eelgrass or no eelgrass (grey). Site trends are shown for 3 regions of greater Puget Sound: San Juan Islands and Strait of Juan de Fuca (SJS), Northern Puget Sound and Saratoga Whidbey Basin (NPS/SWH), and Central Puget Sound and Hood Canal (CPS/HDC). The top part of the graph shows long-term trends (based on all data between 2000 and 2023). The bottom part is based on data from 2018-2023 (recent trends). The star indicates there is a significant difference between the number of increasing and declining sites for the region as a whole (not just in the selected sample).

Key Vital Sign Indicator Results

  • Eelgrass area was stable at most sites surveyed by the Department of Natural Resources. Over half of all sites (soundwide and within regions) showed no trend in eelgrass area, both over the long-term (2000-2023) and in recent years (2018-2023). 
  • Out of 214 sites surveyed soundwide, there was a similar number of sites with increases and declines in eelgrass area, both long-term and in recent years. This is consistent with the results from the soundwide eelgrass area indicator, which shows resilience on a soundwide scale.
  • The Northern Puget Sound and Saratoga-Whidbey Basin region and the Central Puget Sound and Hood Canal region are assumed to be in stable condition because there was no significant difference between the number of sites with increases and declines.
  • The San Juan Islands and Strait of Juan de Fuca has been identified as a region of concern because sites with declines in eelgrass area significantly outnumbered sites with increases, both over the long-term and in recent years. Most sites with declines were located in the San Juan Islands.
  • Some of the largest eelgrass losses in the San Juan Islands have occurred in embayments. The most notable examples are Westcott Bay on San Juan Island (near total loss), Reef Net Bay on Shaw Island (over 60% loss), Shallow Bay on Sucia Island (about 75% loss), and Swifts Bay on Lopez Island (about 50% loss).
  • Losses in embayments and at the end of inlets have also been observed in other regions of greater Puget Sound.
  • Eelgrass beds near river deltas are highly dynamic. In both the Skokomish and the Nisqually deltas, eelgrass populations fluctuated by over 50% between 2000 and 2023. At a site in Skagit Bay, nearly 500 acres of eelgrass was lost between 2004 and 2023. The overall loss of eelgrass in Skagit Bay is more extensive, as adjacent sites were also impacted.

Contributing Partners

An image representing the progress of a Vital Sign.
An image representing the status of a Vital Sign.
Target

By 2030, see no significant difference between the number of sites with increases and declines in eelgrass area in each of three sub-regions of Puget Sound (no net loss).

By 2050, sites with long term increases in eelgrass area significantly outnumber sites with declines in each of three sub-regions of Puget Sound (net gain). 

Target fact sheet

Memo to Science Panel with rationale

Indicator Details
Click below for more information about this indicator, including Maps, Charts, Indicator Importance, Methods, Interpretation of Results, and Additional Resources.
Last Updated
03/28/2025